Polymer vs Plastic: Key Differences and Practical Applications

What is Plastic

If you’ve ever wondered about polymer vs plastic, here’s the fast answer: all plastics are polymers, but not all polymers are plastics. A polymer is any material made of giant molecules, long polymer chains built from repeating units (monomers). Plastics are a subset of polymers that can be shaped into various products, such as food containers, plastic bags, and precision parts, using processes like injection molding, extrusion, or thermoforming. In other words, plastics are “process‑ready” polymers optimized for flow, cooling, and dimensional control.

Why this matters to manufacturers: choosing between commodity plastics (e.g., low-density polyethylene or polyvinyl chloride) and higher‑performance engineering plastics (e.g., epoxy resin matrices or polyethylene terephthalate) hinges on knowing how chemical composition, molecular weight, amorphous regions, and crystalline content affect mechanical properties. These details determine tensile strength, thermal stability, melting point, glass transition temperature (Tg), and chemical resistance, exactly the levers you pull when dialing in quality for CNC‑machined fixtures, molded housings, or assemblies that integrate other materials like sheet metal and elastomers.

Scale underscores the difference, too. Plastic production now exceeds 400 million tonnes per year, with about a third used in packaging materials and food packaging; construction and construction materials are another significant slice. At the same time, the world continues to grapple with plastic waste (global recycling rates remain under 10%), which is pushing material scientists toward biodegradable polymers, green composites, and more circular raw‑material streams derived from molecules derived from biomass rather than crude oil.

What Are Polymers?

polymer

The word “polymer” comes from Greek roots meaning “many parts.” In chemistry, a polymer molecule is a huge molecule (high relative molecular mass) comprised of long chains of simpler chemical units bonded together through a polymerization process. Those units, monomers, often contain carbon atoms and hydrogen atoms, sometimes oxygen atoms or other elements, which link to form a polymer backbone. The resulting chemical structure (linear, branched polymers, or cross‑linked polymers) governs bulk behavior.

Natural polymers vs. synthetic polymers

Polymers can be natural or synthetic substances:

  • Naturally occurring polymers/natural polymers include cellulose, starch, proteins, natural rubber, and nucleic acids such as deoxyribonucleic acid (DNA)—all classic organic polymers.

  • Synthetic polymers are synthetic substances composed via industrial chemical reactions. Examples include low-density polyethylene (LDPE), high-density polyethylene (HDPE), polyvinyl chloride (PVC), polyethylene terephthalate (PET), epoxy resin networks, and synthetic fibers like nylon and polyester.

In polymer science, two temperature markers matter. The glass transition temperature (Tg) is where amorphous portions of a polymer shift from glassy to rubbery; the melting point (Tm) applies to crystalline regions. Together with molecular weight and chemical composition, Tg and Tm determine physical properties, flow in polymer solutions, and final mechanical properties such as tensile strength and impact resistance.

Plastics are a subset

Plastics are materials composed of polymers that can be shaped at high temperature (thermoplastics) or set permanently via a chemical process (thermosets). Thermoplastics like LDPE, HDPE, PVC, and PET soften and re‑solidify repeatedly, enabling plastic packaging, food containers, and precise plastic products for the plastics industry. Thermosets such as epoxy resin cure into cross‑linked polymers that deliver higher thermal stability and chemical resistance for engineering plastics used in construction materials, electronics, and structural composites.

So, “polymer” vs “plastic” boils down to scope: “polymer” is the broad class of chemical compounds (including other polymers found in nature), while “plastic” refers to those processable polymer systems often derived from raw materials like crude oil—that the manufacturing floor can melt, form, machine, and assemble alongside other materials.

What Is Polymer Made Of?

When people ask about polymer vs plastic, the first thing to know is that not all polymers are plastics. A polymer is any polymeric material made from very large molecules—long polymer chains built by joining simpler chemical units called monomers. Plastics are a subset of polymers engineered to be shaped into plastic products at high temperatures (e.g., injection‑molded housings, caps, and plastic bags).

What goes into a polymer: polymer science?

Atoms and bonds

Most organic polymers are dominated by carbon atoms and hydrogen atoms, often with oxygen atoms or other heteroatoms. The choice of atoms and the bonding pattern define the chemical composition and durability.

Monomers (low relative molecular mass)

Monomers are small molecules—think ethylene, styrene, or lactide—with low relative molecular mass that link into a polymer comprised of thousands or millions of repeating units.

Feedstocks

Many monomers come from crude oil or natural gas; others are bio‑derived (e.g., lactic acid from corn).

Additives

Stabilizers, colorants, plasticizers, and fibers tune mechanical properties such as tensile strength, impact resistance, and flexibility.

Naturally occurring polymers vs. synthetic polymers

  • Natural polymers include cellulose (wood/cotton), starch, proteins, natural rubber, and nucleic acids such as deoxyribonucleic acid (DNA).

  • Synthetic polymers are made industrially—polyethylene, polypropylene, PET, epoxy, and more. These powerful modern packaging materials include automotive and medical devices.

Why it matters for manufacturing

  • Global plastics production is in the hundreds of millions of tonnes per year, primarily serving packaging and consumer goods, also driving the plastic waste challenge.

  • The same chemistry that enables affordable plastic products also enables breakthroughs such as biodegradable polymers, green composites, and polymer‑based drug delivery systems. For CNC machining and molding teams, composition is the lever that aligns cost, processability, and performance.

What is the structure of a polymer?

A polymer’s chemical structure, how those chains are arranged, governs the bulk properties manufacturers care about: flow, stiffness, toughness, and heat resistance. In short, polymers and plastics behave the way they do because of structure.

1) Chain length and molecular size

Polymers are large molecules—often millions of Daltons—formed from long polymer chains. Longer chains (higher molecular weight) typically increase viscosity, toughness, and tensile strength.

2) Architecture: linear, branched, cross‑linked

Linear chains pack well and can crystallize, improving stiffness.

Branched polymers (e.g., LDPE) pack less efficiently and remain more flexible.

Cross-linked networks (epoxy, rubber vulcanizates) form permanent bridges between chains, delivering high thermal/chemical stability but no melt reprocessability.

3) Sequence and stereochemistry

Copolymers can be random, alternating, or blocky; each sequence changes crystallinity and impact behavior. Subtle stereochemical differences can shift melting behavior and transparency.

4) Phase morphology

Many polymers contain amorphous and crystalline domains. Amorphous zones add toughness; ordered regions enhance strength and heat deflection. This is why plastics exhibit such a broad spectrum of performance, from soft films to engineering‑grade housings.

5) Natural vs. synthetic structure

Synthetic and natural polymers share the same fundamentals. Cellulose microfibrils, natural rubber networks, and protein chains are structured just as deliberately as PET or nylon.

Implications for products and sustainability

  • Structure dictates what a polymer can do: thin films for packaging materials, rigid frames, or resorbable drug delivery systems.

  • Designing the chain and architecture enables biodegradable polymers and green composites that reduce plastic waste without sacrificing performance.

  • For manufacturing teams, understanding structure guides resin selection and processing windows—ensuring the chosen polymer melts, flows, and solidifies predictably into durable parts.

The word polymer describes the chain‑based matter itself; “plastic” refers to those chain systems engineered to be formed into parts. Structure—chain length, architecture, and morphology—translates chemistry into the real‑world performance you machine, mold, and assemble.

Polymer Pros And Cons

When comparing polymer vs plastic, remember: plastics are polymers you can shape; not all polymers are plastics. A polymeric material is a network of very large molecules—long chains of repeating units made mostly of carbon atoms, often with hydrogen and oxygen. That chemical structure is what drives performance on the shop floor.

Pros

  • Tailored performance: Chain length, branching, and crosslinking let engineers tune stiffness, impact strength, and heat resistance for specific parts.

  • Lightweight strength: Many polymers deliver high specific strength, enabling metal-replacement brackets, covers, and guards that are easier to machine or mold and cheaper to ship.

  • Corrosion and moisture resistance: Unlike metals, polymers don’t rust and many shrug off salts, fuels, and cleaners.

  • Electrical insulation: Ideal for housings, fixtures, and PCB spacers where dielectric strength matters.

  • Process versatility: Compatible with injection molding, extrusion, thermoforming, and overmolding with sheet-metal inserts or fasteners.

  • Bio options: Natural polymers (cellulose, natural rubber) and newer biodegradable polymers support lower-impact designs and green composites.

Cons

  • Thermal limits: Many soften at relatively low temperatures; creep under load can be an issue near heat sources.

  • Aging and chemicals: UV, oxidizers, or certain solvents can embrittle some grades without stabilizers.

  • End-of-life challenges: Sorting and recycling still lag demand, feeding the plastic waste problem.

  • Variability: Moisture uptake and processing history can shift mechanical properties if controls are loose.

What Are Plastic?

Plastic Injection Molding Parts

Plastics are a subset of polymers and are engineered for shaping into parts—caps, clips, enclosures, and structural panels. Practically, a plastic is a polymer comprised of long polymer chains that flows when heated (thermoplastics) or cures irreversibly into a solid network (thermosets).

  • Thermoplastics (e.g., PP, PE, PET, PVC) soften at high temperature, can be remelted, and dominate packaging materials and consumer plastic products like plastic bags and bottles.

  • Thermosets (e.g., epoxies and phenolics) form permanent cross-links; they won’t remelt but offer excellent rigidity and thermal/chemical stability for composite laminates, tooling, and electronics.

In production, plastics win because they combine low density, short cycle times, and tight dimensional repeatability. For CNC, they machine cleanly with the correct tooling; for molding, they fill complex cavities, capture fine textures, and integrate with other materials (threads, metal inserts, films) in a single shot. The result: functional parts at scale with predictable cost and quality.

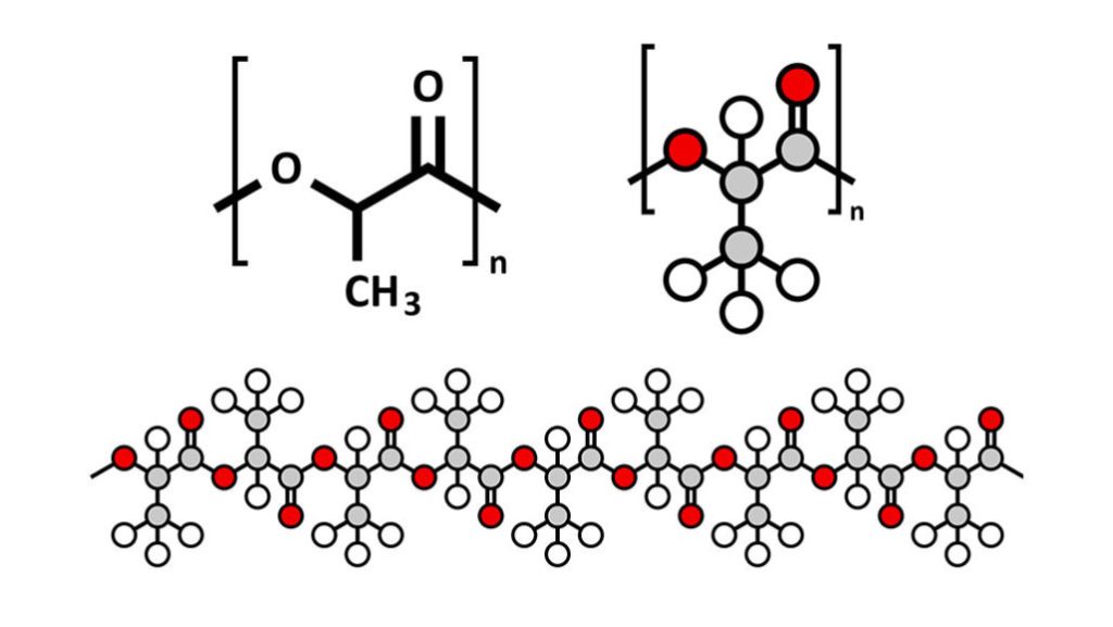
What Is Plastic Made Of?

Plastics start with monomers—small molecules of low relative molecular mass—that link into very large molecules by polymerization. Most common monomers are derived from crude oil or natural gas (ethylene → PE; propylene → PP; vinyl chloride → PVC; terephthalic acid + ethylene glycol → PET). Others are bio-based (lactic acid → PLA).

Key ingredients

  • Backbone chemistry: Chains of carbon atoms and hydrogen atoms, sometimes oxygen atoms or other heteroatoms, define the chemical composition and reactivity.

  • Polymer architecture: Linear, branched, or cross-linked networks determine melt flow and rigidity.

  • Additives: Stabilizers, antioxidants, UV absorbers, flame retardants, and colorants protect and color the resin.

  • Fillers/reinforcements: Glass fiber, mineral, or carbon fillers raise stiffness, heat deflection, and dimensional stability.

  • Processing aids: Lubricants, impact modifiers, and nucleating agents fine-tune cycle time and surface finish.

From there, pellets are dried, melted, and shaped by injection molding, extrusion, blow molding, or thermoforming into the finished component.

What Are the Properties of Plastic?

Because their chemical structure is designable, plastics exhibit a broad spectrum of bulk properties:

  • Mechanical: Density typically ~0.9–1.4 g/cm³; tensile strength ranges widely (commodity films to engineering-grade housings). Impact-modified grades absorb energy without cracking.

  • Thermal: Defined by melting point or softening point and glass transition; some grades survive continuous service near engine bays, others suit ambient-temperature packaging.

  • Chemical: Many resist water, salts, oils, and mild acids/alkalis; selection depends on exact media and exposure time.

  • Electrical: Most are excellent insulators; antistatic or conductive versions are available when needed.

  • Barrier: PET and EVOH blends provide good gas and moisture control for food packaging and bottles.

  • Processing: Flow under heat enables thin walls, living hinges, snaps, textures, and overmolded seals.

For manufacturers, the take-home is simple: choose the polymer family first (PE, PP, PET, PVC, PA, PC, POM, epoxy, etc.), then the grade and additives that deliver the right processing window and field performance. That’s the practical core of polymer vs plastic—designing the chain, architecture, and formulation so the polymeric material you mold meets spec, schedule, and budget.

What Is the Structure of Plastic?

In the polymer vs plastic conversation, think of plastic as a process-ready polymeric material whose structure is engineered for shaping and performance. While not all polymers are plastics, all plastics are built from polymers, long chains of repeating units (monomers) that determine how the material behaves on the factory floor.

Four structural levels drive performance:

  • Molecular (chain level): The average chain length (molecular weight) and how uniformly chains are distributed control melt viscosity, toughness, and surface finish in molding.

  • Architectural: Chains can be linear, branched, or permanently cross-linked. Linear/branched systems form thermoplastics that soften with heat; cross-linked networks form thermosets that cure into dimensionally stable solids.

  • Morphology: Plastics contain amorphous regions (good for impact and clarity) and crystalline regions (good for stiffness and heat resistance). Morphology sets the glass transition and softening behavior that processors tune for cycle time.

  • Formulation: Stabilizers, colorants, lubricants, and reinforcements convert a base polymer into an application-ready plastic, balancing flow, weld-line strength, and aesthetics.

Whether sourced from synthetic polymers (e.g., PP, PET, epoxy) or modified natural polymers (e.g., cellulose derivatives), this multilevel structure is what lets polymers and plastics deliver precise, repeatable parts via injection molding, thermoforming, extrusion, or secondary CNC finishing.

Plastics Pros And Cons

Before weighing benefits and trade-offs, a quick frame: in the polymer vs plastic conversation, plastics are process-ready polymeric materials—long chains of repeating units—formulated with stabilizers, fillers, and reinforcements to meet manufacturing realities. Selection lives at the intersection of service temperature, mechanical load, expected chemicals, regulatory constraints (e.g., FDA, UL), and part geometry. Not all polymers behave as plastics, and even within plastics, architecture (linear vs cross-linked), morphology (amorphous vs semi-crystalline), and additives drive cost, cycle time, recyclability, and field performance.

Pros

  • Lightweight strength: High specific stiffness enables metal replacement and easier handling/assembly.

  • Design freedom: Thin walls, living hinges, snap-fits, textures, and inserts in one cycle reduce part count.

  • Processing efficiency: Short mold cycles and low energy per part support scalable production.

  • Chemical and corrosion resistance: Many grades are resistant to moisture, salts, fuels, and cleaners.

  • Electrical insulation: Natural dielectric behavior simplifies housings, connectors, and covers.

  • Material breadth: From synthetic polymers to bio-based or modified natural polymers, you can tailor properties to spec.

Cons

  • Thermal limits and creep: Many grades lose stiffness near service heat; long-term loads can cause deformation.

  • Environmental footprint: End-of-life logistics and litter drive scrutiny; circular designs must address durability vs. recyclability.

  • Aging sensitivity: UV, oxidizers, and some chemicals can embrittle unstabilized grades.

  • Tolerance to process window: Variations in moisture, temperature, or shear can shift properties and dimensions.

  • Repairability: Thermosets and filled systems are harder to rework than metals.

Plastics are a specialized outcome of the polymers. Their plastic distinction—an engineered polymeric material crafted from chains of repeating units. Use the structure (architecture, morphology, and formulation) to capture the upside while planning around the trade-offs that polymers and plastics inherently bring.

Key Differences Between Polymer and Plastic

Before we compare polymer vs plastic, remember the rule of thumb: all plastics are polymers, but not all polymers are plastics. A polymer is a broad chemistry of giant molecules built from repeating units, which can be synthetic polymers or natural polymers (cellulose, natural rubber, and proteins). Plastic is the process-ready polymeric material engineered (with additives and reinforcements) to be shaped reliably into parts by injection molding, extrusion, thermoforming, or CNC finish-machining.

Polymer

Scope

The umbrella class in polymers and plastics spans natural polymers (cellulose, starch, natural rubber) and synthetic polymers (PE, PET, epoxies). Fundamental to fibers, elastomers, resins, and biomaterials.

Composition

Chain molecules (huge molecules) are built from repeating units (monomers). Backbones are largely of carbon atoms with hydrogen/oxygen; architectures may be linear, branched, or cross-linked. A polymer is comprised of chemistry, not a product form.

Base polymer plus additives (stabilizers, plasticizers, colorants), fillers, and reinforcements to hit target performance and cost. Composition is application-tuned

Processing

Not inherently “process-ready.” Some exist as solutions, gels, or permanently cross-linked networks. May require compounding or conversion to become a moldable plastic. Emphasis on chemical synthesis and structure control.

Properties

Determined by chemical structure (monomer type, stereochemistry), molecular weight, and morphology (amorphous/crystalline). Bulk behavior ranges from viscous liquids to tough solids. Tunable viscoelastic response.

Versatility

Spans fibers, films, elastomers, adhesives, coatings, membranes, hydrogels, and bio-derived systems. Supports high-end uses like biomedical scaffolds and advanced composites.

Applications

From DNA and proteins to epoxy matrices and engineering resins, it including drug delivery systems, filtration membranes, and green composites—often chemistry-driven, not always melt-processable.

Plastic

Scope

The umbrella class in polymers and plastics, spanning natural polymers (cellulose, starch, natural rubber) and synthetic polymers (PE, PET, epoxies). Fundamental to fibers, elastomers, resins, and biomaterials.

Composition

Base polymer plus additives (stabilizers, plasticizers, colorants), fillers, and reinforcements to hit target performance and cost. Composition is application-tuned.

Processing

Designed for shaping: injection molding, extrusion, blow/thermoforming, compression molding; secondary CNC finishing and insert/over-molding with metals. Consistent melt flow and shrink control.

Properties

Plastics exhibit predictable strength, stiffness, impact, dielectric behavior, and surface finish. Grades range from commodity to engineering; properties validated to standards and regulatory specs.

Versatility

High design freedom: thin walls, living hinges, snap-fits, textures, and integrated seals. Easily combined with metals or electronics for multi-material assemblies.

Applications

Scalable parts for packaging materials, consumer housings, electrical enclosures, automotive interiors, fixtures, and precision components—where reliability, cycle time, and unit cost matter.

Scroll to Top